
Afbeelding 1. Albert Michelson.Albert Michelson (1852-1931). Foto: AstroLab.
Albert Michelson (19 december 1852 – 9 mei 1931) was een Amerikaanse natuurkundige, gefascineerd door (het meten van) de snelheid van het licht. Zijn eerste metingen daaraan deed hij in 1877; in 1879 vond hij als snelheid van het licht in vacuüm 299,940 km/s. Tegenwoordig is die snelheid gedefinieerd als 299,792458 m/s, dus dat was geen slecht resultaat. Bijna tien jaar later, in 1887, gebruikte Michelson zijn eerdere ervaring om samen met Edward Morley een experiment te ontwerpen dat gebruik maakte van de lichtsnelheid om de relatieve beweging van de aarde ten opzichte van de ether te meten.
Dat natuurkundigen in het bestaan van de ether geloofden was overigens niet zo heel gek: watergolven hebben immers ook een medium nodig om zich voort te planten (water), evenals geluidsgolven (lucht). Hetzelfde zou kunnen gelden voor lichtgolven. Het medium waarin die zich voortplantten moest dan wel heel bijzonder zijn, omdat de lichtsnelheid heel groot is en wij geen duidelijke weerstand ondervinden als we door datzelfde medium heen reizen. Verder werd over het algemeen aangenomen dat de ether stilstaat (en niet met de aarde meebeweegt), zodat er een soort van ‘etherwind’ is die de aarde mee of tegen kan hebben op verschillende momenten in het jaar – zie afbeelding 2.

Afbeelding 2. De baan van de aarde.De baan van de aarde rond de zon. En… door de ether?
Het Michelson-Morley-experiment was ontworpen om deze ‘etherwind’ te meten. De opzet is verrassend eenvoudig: als er sprake is van een etherwind, dan kunnen lichtstralen die dus ‘mee’ of ‘tegen’ hebben, afhankelijk van welke kant ze op bewegen. Als we twee stralen bekijken die in verschillende richtingen bewegen, dan moet er dus een verschil zitten in de tijd die ze over een bepaalde afstand doen. We zullen dit nu in iets meer detail bestuderen. Het echte experiment was nogal omslachtig, dus we beperken ons hier tot de essentie.
Het apparaat dat Michelson en Morley ontwierpen is een verbeterde versie van een apparaat dat Michelson eerder gebruikte: een interferometer. Zo’n apparaat werkt als volgt: een lichtbron zendt licht uit dat op een half-verzilverde spiegel valt (S in de onderstaande afbeelding), die een deel van het licht doorlaat en een deel afkaatst. Beide lichtbundels kaatsten op een andere spiegel (respectievelijk A en B) en komen uiteindelijk terecht bij dezelfde waarnemer.

Afbeelding 3. Een interferometer.Een schets van de opstelling die Michelson en Morley gebruikten.
Nu wordt het tijd voor wat rekenwerk. Laten we de snelheid van het licht door de ether c noemen. Als de aarde (en dus de opstelling) door de ether beweegt met relatieve snelheid v, in de richting zoals aangegeven in de afbeelding, dan beweegt lichtstraal 1 (die naar spiegel B gaat) op de heenweg met snelheid c + v, en op de terugweg met snelheid c – v. De totale reistijd voor deze lichtstraal is dus

Dit kunnen we handig omschrijven naar

Het lijkt misschien alsof de lichtstraal die naar A en terug beweegt niet beïnvloed wordt door de etherwind, maar dat is niet helemaal juist: doordat de opstelling door de ether is bewogen, zal het licht schuin bewegen – zie afbeelding 4:

Afbeelding 4. Lichtweg via A.De weg die de lichtstraal via spiegel A aflegt.
Ook van dit licht kunnen we de reistijd berekenen. De lichtstraal reist met snelheid c, en laten we zeggen dat hij spiegel A bereikt in een tijd T; de afgelegde afstand is dus cT. In diezelfde tijd is de spiegel echter een stukje opgeschoven naar rechts: een afstand vT, zodat die zich nu op positie A2 bevindt. Nu weten we met de stelling van Pythagoras dat
![]()
Hieruit kunnen we met wat algebra afleiden dat

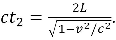
De lichtstraal moet ook weer terug, dus de totale reistijd van lichtstraal 2 is

Dit kunnen we vergelijken met de reistijd van lichtstraal 1 die we hierboven hebben berekend. We vinden

Door het tijdsverschil te meten waarmee de lichtstralen de waarnemer bereiken kunnen we dus achter de snelheid van de aarde door de ether komen (die is immers gegeven door v). Nu is natuurlijk de vraag: wat kwam er uit het experiment van Michelson en Morley? Het (voor de wetenschappers zelf nogal verrassende) antwoord was dat met hoge precisie
![]()
wat impliceert dat v=0, oftewel: de aarde beweegt niet meetbaar ten opzichte van de ether! Je kan je misschien voorstellen dat dit laatste in een tijdperk waarin het bestaan de ether algemeen werd aangenomen niet de meest voor de hand liggende conclusie was. Alle natuurkundigen gingen daarom aan de slag om de ether te ‘redden’ en dit resultaat te verklaren mét behoud van de ether. Het was de Nederlander Hendrik Lorentz die hier als eerste in slaagde: hij stelde voor dat voorwerpen die door de ether bewegen langs de bewegingsrichting samentrekken met de zogeheten Lorentzfactor die we hierboven al tegenkwamen:

De lengte L wordt dan dus L / γ; dit staat bekend als Lorentzcontractie.Als we dit invullen in de formule voor t1, dan vinden we met wat rekenwerk:

Daarmee klopt de redenering mét ether dus weer. Het samentrekken van voorwerpen was echter nogal een ad hoc hypothese, die toentertijd niet duidelijk theoretisch te verklaren viel. Enkele jaren later bleek deze formule echter wel een andere theoretische interpretatie te hebben, die we danken aan Einstein: Lorentzcontractie is namelijk één van de consequenties van zijn speciale relativiteitstheorie. De interpretatie is echter geheel anders: contractie wordt in Einsteins theorie veroorzaakt door het bekijken van het experiment vanuit een andere, bewegende waarnemer, en de ether is in zijn theorie juist geheel overbodig geworden. Het is overigens niet duidelijk in hoeverre het experiment van Michelson en Morley daadwerkelijk invloed heeft gehad op Einstein; daar is nog discussie over onder natuurkundehistorici. We kunnen echter wel stellen dat het experiment zeer belangrijk is geweest in het accepteren van de absolute lichtsnelheid – en de Nobelprijs die Michelson in 1907 (als eerste Amerikaan ooit) kreeg ‘voor zijn optische precisie-instrumenten’ was dan ook volkomen terecht.